
Acústica
Haz click aquí!!👇🏻
La acústica es la rama que estudia el sonido.
El sonido es una onda mecánica longitudinal producida por la vibración de un objeto.
Las ondas audibles son ondas longitudinales que el oído humano puede escuchar, con frecuencias entre 20 Hz y 20 000 Hz.
Las ondas infrasónicas tienen frecuencias inferiores a las audibles y las ultrasónicas mayores al limite audible.

Propagación del sonido
¿Cómo se propaga?
El sonido se transmite mediante
Compresión → las partículas están más juntas.
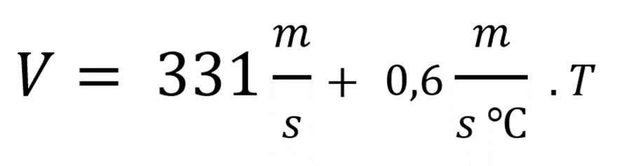
Rarefacción → las partículas están más separadas.La velocidad depende del medio.
Aire: La velocidad aquí es de

Sólido
En los sólidos las partículas están muy próximas entre sí y fuertemente unidas, por eso transmiten las vibraciones con mayor rapidez.
Depende del módulo de Young y la densidad.

Líquido:
En los líquidos las partículas están menos unidas que en los sólidos, pero más próximas que en los gases.
Depende del módulo de compresibilidad.

Gases:
En los gases las partículas están muy separadas y se mueven con mayor libertad.
Se toma en cuenta la constante de los gases 8,314 J / mol ºC y el coeficiente adiabático donde encontramos
1,6 Monoatómicos 1,4 Diatómicos

Temperatura: debe quedar en centígrados.


Propiedades del sonido
Reflexión
La reflexión del sonido es conocida como eco.
Ocurre cuando el sonido choca contra una superficie lisa y regresa, de forma similar a como se refleja la luz.
Cuando ese rebote sucede varias veces seguidas, se llama reverberación.
Refracción
La refracción sucede cuando las ondas sonoras cambian de dirección porque distintas partes de la onda se desplazan a velocidades diferentes.
Un ejemplo es cuando el sonido viaja por aire con diferentes temperaturas.
Ese cambio en la dirección del sonido se denomina refracción.
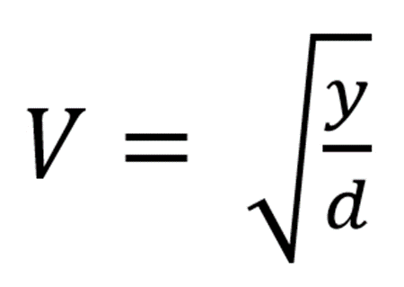
Intensidad
La intensidad es la cantidad de energía sonora que se transmite en un determinado tiempo a través de una superficie ubicada perpendicularmente a la dirección en que se propaga el sonido.
Se expresa en belios o decibelios.
Fórmula

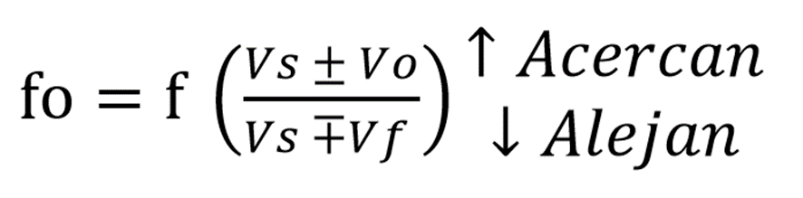
Efecto Doppler
Ocurre cuando hay movimiento entre la fuente del sonido y el observador.
Si la fuente se acerca, la frecuencia percibida aumenta.
Si se aleja, la frecuencia que se percibe disminuye.
Fórmula

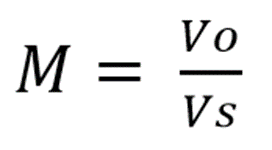
Número de Mach
Es una relación que indica qué tan rápido se mueve un objeto en comparación con la velocidad del sonido en el mismo medio.
Fórmula:

Si:
- Subsónicos 0 < M < 1
- Sónicos M = 1
- Transónicos 1 < M < 1,2
- Supersónicos 1 < M < 5
- Hipersónicos M > 5








